鉅大鋰電 | 點擊量:0次 | 2019年03月26日
負極析鋰,實現鋰離子電池容量跳水的早期預測
鋰離子電池主要由正極、負極和電解液等部分構成,在充電的過程中Li+從正極脫出,經過電解液的擴散后嵌入到負極。石墨是常用的鋰離子電池負極材料,其嵌鋰電位與金屬鋰接近,這一方面為鋰離子電池帶來了更高的工作電壓,有利于鋰離子電池能量密度的提高,但是另一方面在石墨嵌鋰后期,隨著石墨中Li+擴散系數的降低【1】,也導致Li+更容易達到析鋰電位從而在負極表面發生析鋰,影響鋰離子電池的循環性能,嚴重情況下甚至甚至可能產生嚴重的安全隱患【2】。
負極析鋰通常是由于低溫充電,大電流充電和電池老化等因素造成,因此為了避免負極析鋰現象的出現,負極析鋰檢測就變的尤為重要,但是鋰離子電池的密封結構讓負極析鋰的檢測工作并不容易。近日,加拿大達爾豪斯大學的J.E.Harlow(第一作者,通訊作者)和J.R.Dahn(通訊作者)通過分析鋰離子電池平均電壓變化趨勢,成功實現無損檢測負極析鋰現象的發生【3】。
實驗中J.E.Harlow采用單晶NCM523作為正極材料,石墨材料作為負極,電解液來自BASF(1.2MLiPF6,EC:EMC=3:7),電解液分別添加不同添加劑,觀察添加劑對鋰離子電池循環性能的影響。
電池的平均電壓可以通過下式獲得,首先通過電壓對容量積分獲得電池的充放電能量數據,然后將充/放電總能量除以電池的總容量就可以得到電池的平均電壓。理想的鋰離子電池在整個壽命周期內,充電平均電壓和放電平均電壓應該是恒定的,但是在實際中隨著電池循環次數的增加,充電的平均電壓Vav,c總是在持續提高,放電平均電壓Vav,d總是在持續降低(如下圖所示,左側為內阻引起的電池極化增加,右側為Li損失引起的電池平均電壓變化)。
內阻增加是最為常見的引起電池充放電平均電壓變化的原因,在內阻增加時隨著電池充放電電流的增大,電池的充電平均電壓會出現升高和放電平均電壓則會出現降低,而且由于電阻沒有方向性因此充放電平均電壓的變化是完全對稱的,我們將內阻升高導致的電池平均電壓變化稱為RV。
此外,在循環過程中活性Li的消耗也同樣會引起電池充放電平均電壓的變化(如下圖D-G所示),通常鋰離子電池正極容量小于負極容量,因此鋰離子電池的容量主要受到正極容量的限制,如果在循環過程中因為副反應等因素導致部分活性鋰被消耗,因此實際上放電末期由于負極的電勢急劇升高,因此正極在較高的電勢下就達到了電池的放電截止電壓,因此導致正極的放電曲線向左方向移動,也就導致了充放電過程中的平均電壓都會出現升高,我們將因活性Li損失引起的平均電壓變化稱為SV。

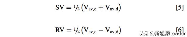
根據內阻和Li損失引起的電池充放電平均電壓變化的特點,我們可以將充放電過程中的平均電壓變化用下式表達,其中充電過程中由于內阻和Li損失都會導致電池平均電壓的升高,因此兩者是相加的關系,但是在放電的過程中由于Li損失會導致平均電壓的升高,而內阻則會導致平均電壓的下降,因此兩者是相減的關系(注:這里作者筆誤,此處應為充放電平均電壓的變化值,而非充放電平均電壓)。

我們可以通過對這個二元一次方程組求解的方式分別得到內阻引起的電壓變化和Li損失引起的電池電壓變化(如下式所示)。

下圖為根據電池實際數據得到內阻增加和活性Li損失導致的充放電平均電壓變化,以及據此計算得到的內阻引起的平均電壓變化值RV和活性Li損失引起的平均電壓變化值SV,從下圖A中我們能夠看到充電平均電壓的升高速度要明顯快于放電平均電壓的降低速度,這驗證我們前面理論的正確性。

從上圖我們能夠發現在電池放電容量衰降加速時,因活性Li損失導致的平均電壓變化SV也呈現明顯增大的趨勢。通常我們認為在循環的初期活性Li的損失主要與SEI膜的生長有關,而隨著SEI膜的增厚,SEI膜的生長速度會呈現出明顯的降低,在壽命后期活性Li的損失突然增加通常是因為負極析Li造成的,而我們普遍認為負極析Li是造成鋰離子電池在壽命末期的可逆容量加速衰降的主要原因【4】,因此我們可以通過跟蹤活性Li損失導致的充放電平均電壓變化SV來對負極析鋰現象進行預測,從而實現對鋰離子電池可逆容量跳水現象進行提前預測。
下圖為不同電解液電池循環過程中的SV和RV變化趨勢,從圖能夠看到紅色曲線在循環900次后可逆容量出現加速衰降的趨勢,而我們觀察幾種電池的SV變化趨勢能夠發現,紅色曲線在850次左右時SV開始快速增加,與電池出現容量跳水的時機恰好一致。而我們將循環后的電池解剖后也能夠發現紅色曲線代表的電池在負極中間位置出現了大面積的析鋰現象,這也表明SV曲線能夠很好的預測負極析鋰現象的發生。

鋰離子電池循環過程中負極析鋰是造成可逆容量加速衰降的主要原因,然而長期以來采用非破壞性的手段檢測負極析鋰都是一項非常具有挑戰性的工作,J.E.Harlow等人通過分析鋰離子電池在充放電過程中平均電壓的變化這一簡單有效的方法能夠在鋰離子電池容量跳水前發現鋰離子電池活性Li損失速度加快,從而實現了對鋰離子電池容量跳水的早期預測。
上一篇:起底動力電池熱管理之熱管技術介紹










