鉅大鋰電 | 點擊量:0次 | 2019年05月31日
實現高負載鋰電池的超快速充電所需的要求
美國能源部(DOE)已經表明極速充電(XFC)是實現電動汽車廣泛應用必須克服的關鍵難題。在理想情況下,電動汽車應該能夠在與傳統內燃機汽車相同的時間內充滿電。目前能源部的目標是15分鐘內為高能量密度電池(>200Wh/kg)充電,這要求電池達到4C到6C的充電速率;盡管某些薄電極鋰離子電池可以以非常高的速度充電(>5C),但代價是降低20%以上的能量密度和昂貴的電池制造成本。高能量密度電池的充電時間受到鋰沉積、快速升溫和潛在的顆粒開裂等因素的限制,如何解決鋰電池的快速充電問題是極具難度而又意義重大的挑戰。
【成果簡介】
近日,美國科羅拉多國家可再生能源實驗室KandlerSmith課題組在國際知名期刊JournalofTheElectrochemicalSociety發表題為“RequirementsforEnablingExtremeFastChargingofHighEnergyDensityLi-IonCellswhileAvoidingLithiumPlating”的文章,研究了高能量密度石墨/NMC電池在無鋰沉積的情況下快速充電對電極/電解質的要求。作者對不同負載下電池的高倍率充電數據進行了電化學模型驗證,該模型闡明了高能量密度電池的主要限制是電解質輸運不良,導致鋰在石墨/隔膜界面沉積從而造成電解質鹽的損耗。接著,此模型被用來探究未來電極和電解質的哪些性能將有助于4C和6C的快速充電,即理想情況下,未來電解質應該達到的參數為2X(倍)的電導率,3-4X的擴散率和0.5-0.6的遷移數。另外,在高溫下充電可以提高電解質1.5S的導電性和2-3X的擴散率,而對轉移數的影響可以忽略不計;另一個有效的方法是減少電極的曲折也能有利于電池的快速充電;然而經過作者研究發現,提高電極孔隙率和負正比對電池的快速充電無有效作用。
【圖文導讀】

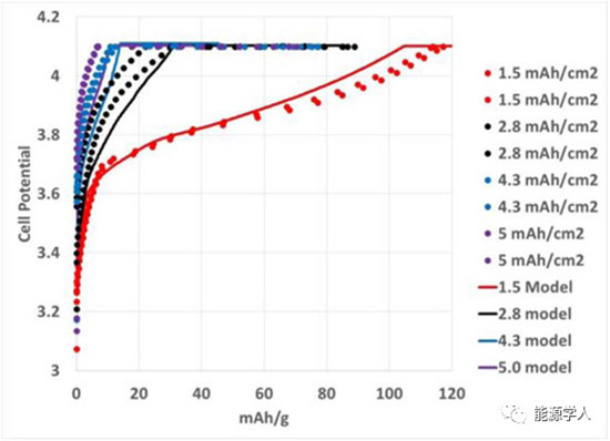
圖1顯示了在1.5mAh/cm2正極負載下,在3、5和7CCC(恒流充電)下充電至4.2V和CV(恒壓充電)直到電流低于C/5的充電情況。在每個充電條件下,均采用恒定的C/2放電速率。由于長CV保持時間,對于所有的充電速率,C/2的放電容量是非常相似的。圖中以實線顯示了模型預測。
圖1(A)A12石墨負極//NMC532正極的單層軟包電池在3、5和7C的CC部分充電時的電壓圖,充電電流1.5mAh/cm2,有效尺寸為14.1cm2。點是電池數據,實線是模型預測電壓。(B)1.5mAh/cm2軟包以3C,5C,7C充電率充電后的放電容量(C/2速率)循環圖。
然后作者研究了不同負載量的電池以6C的速度充電,4種不同電極負載的紐扣電池在6CCC充至4.1V,在4.1V保持10分鐘。充電曲線如圖2所示。

圖2孔隙率為30-35%的不同電極負載的電池在6C充電時的電池電位。實驗測量結果用點和線表示模型預測的電壓。試驗在30℃條件下使用標準Gen2電解質進行。
圖3顯示了在6CCC充電部分結束時電池內的電解質濃度分布圖,該模型用于研究高負荷電池6C充電性能較差的問題。

圖3(A)電解質濃度和(B)嵌入部分的預測模型,為6CCC充電至4.1V時電極內部位置的函數。每條線代表不同負載量的電池,歸一化電壓是電池內的位置除以電池總厚度。注:1.5mAh/cm2電池的總厚度為100μm,5mAh/cm2電池的總厚度為324μm。
除了可實現的容量和效率較差外,該模型還預測,負載較高的電池還會受到鋰沉積的影響。圖4為石墨/隔膜界面固相電極電位與液體電解質相電位的電壓差。

圖4在6CCC充電過程中,固體電極電位減去石墨隔膜界面電解質相電位與負極容量的函數,每條線代表不同負載量的電池。
圖5顯示了模型預測的SOC在4和6CCC充電到4.2V時與電極負載的關系。

圖5(A)對充電狀態SOC/容量關系的模型預測圖,(B)是鋰電鍍電壓與容量的關系,在4C和6CCC充電至4.2V時A12石墨土豆狀顆粒和球形顆粒形狀的負極的表征。在容量圖中,鋰鍍層量的預測時,直線變為虛線。
增加電極孔隙度可以提高電解質的有效輸運性能,圖6顯示了高負載3和4mAh/cm2、電極孔隙率為30%和40%的球形石墨顆粒電池的能量密度和體積能密度隨充電速度變化的模型預測。

圖6模型預測了3mAh/cm2(藍色)和4mAh/cm2(紅色)電池用CC充到4.2V的應用質量(A)和體積(B)能量密度隨充電速度的關系。(C)是鋰電鍍電壓隨充電速度的關系,實線表示孔隙率為30%的電極,虛線表示孔隙率為40%的電極。
圖7和圖8用模型預測了電池目前的標準電解液與假設的兩種下一代電解質的參數。

圖7使用標準碳酸鹽電解質和假設的下一代1(NextGen1)電解質的電池CC充電時,模型預測能量密度(A)和石墨/隔膜界面鍍鋰的電壓(B)隨充電速度的關系。該模型是對于3mAh/cm2負載、球形陽極顆粒和30%孔隙率的電池,與標準電解質相比,下一代1電解質的具有1.8X(倍)的離子電導率,3X的擴散率,遷移數大0.05。

圖8使用標準碳酸鹽電解質和假設的下一代1(NextGen2)電解質的電池CC充電時,模型預測能量密度(A)和石墨/隔膜界面鍍鋰的電壓(B)隨充電速度的關系。該模型是對于3mAh/cm2負載、球形陽極顆粒和30%孔隙率的電池,與標準電解質相比,下一代2電解質的具有2.3X的離子電導率,4X的擴散率,遷移數大0.15。
圖9的模型進一步探討了不同電解質輸運特性對實現不鍍鋰的極速充電的重要性。

圖9模型預測的(A)能量密度和(B)石墨/隔膜界面的鍍鋰電位在各自改進的電解液中的性能表現。De、kappa和trfn分別代表電解質擴散率、離子電導率和轉移數。
圖10和圖11描述了將工作溫度從30°C提高到45°C和60°C時,不同負載量的電池的電解質運輸能力會有明顯的提升,但低負載的電池性能會更好。

圖10模型預測的在30°C、45°C和60°C下(A)能量密度和(B)石墨/隔膜界面鍍鋰的電位隨電池充電速度的關系。該模型基于的是3mAh/cm2負載和30%孔隙率的電池,只考慮了溫度升高時對電解質輸運的改進。

圖11模型預測的在30°C、45°C和60°C下(A)能量密度和(B)石墨/隔膜界面鍍鋰的電位隨電池充電速度的關系。該模型基于的是4mAh/cm2負載和30%孔隙率的電池,只考慮了溫度升高時對電解質輸運的改進。
圖12和圖13的模型研究了減小迂曲度對負載為3mAh/cm2和4mAh/cm2的電池XFC性能的影響。

圖12模型預測的(A)能量密度和(B)石墨/隔膜界面鍍鋰的電位隨迂曲度的關系。該模型基于的是3mAh/cm2負載和30%孔隙率的電池,測量的球形顆粒與粘結劑相的電極的迂曲度為3.3,迂曲度1.8的為冷凍鑄造等非常規加工電極,1為理論極限。

圖13模型預測的(A)能量密度和(B)石墨/隔膜界面鍍鋰的電位隨迂曲度的關系。該模型基于的是4mAh/cm2負載和30%孔隙率的電池,測量的球形顆粒與粘結劑相的電極的迂曲度為3.3,迂曲度1.8的為冷凍鑄造等非常規加工電極,1為理論極限。
圖14的模型研究了負極/正極比對XFC過程中抑制鋰沉積效果的影響,假設的石墨的理論容量為370mAh/g,計算了N/P比。

圖14模型預測了(A)能量密度、(B)體積能密度和(C)石墨/隔膜界面鋰電鍍的電位在不同N/P比時隨充電速度的關系。該模型基于的是45℃下標準Gen2電解液、3mAh/cm2負載、球型顆粒電極、孔隙率30%電極的電池。
根據模型預測,使用標準的碳酸鹽基電解質僅通過降低迂曲度或提高工作溫度是無法在無鋰沉積的條件下將3-4mAh/cm2電池快速充電至較高的SOC,如圖15所示。

圖15模型預測的(A)能量密度和(B)石墨/隔膜界面鍍鋰的電位在45°C不同迂曲度的電池隨充電速度的關系,該模型基于的是3mAh/cm2負載和30%孔隙率的電池。
圖16展示了一個具有4mAh/cm2電極降低了迂曲度的電池的模型預測,可以發現即使在60°C下工作,4mAh/cm2的負載也需要更高的電極孔隙率,以防止在6C時發生鋰的沉積;而在孔隙率為40%時,4mAh/cm2的電池總的能量密度和體積能密度小于孔隙率為30%時3mAh/cm2的電池。

圖16模型預測的(A)能量密度和(B)石墨/隔膜界面鍍鋰的電位不同孔隙率電極的電池隨充電速度的關系,該模型基于的是4mAh/cm2負載的電池。
【總結】
結合實驗和建模,研究了快速充電所需的高電極負載電池的限制,電解液的輸運是造成鋰沉積和厚電極電池利用率低的主要限制因素。利用一系列的模型來探索可能的解決方案,以實現負載3-4mAh/cm2的電池超快速充電。結果表明,對于負載為3-4mAh/cm2的電池,在6下充電需要改進的電解質傳輸性能,降低的電極彎曲度,升高運行溫度和1.1-1.2的N/P電極比。
上一篇:聚合物鋰電池的保養方法










