鉅大鋰電 | 點擊量:0次 | 2019年06月05日
VC添加劑在鋰離子電池中的作用機理
石墨是目前鋰離子電池主流的負極材料,石墨的嵌鋰電勢與金屬Li接近,因此能夠將鋰離子電池高電壓的優勢發揮的淋漓盡致,但是這也帶來了一個問題——電解液的不穩定,目前常規的碳酸酯類電解液在1.5V以下就會發生還原分解,例如電解液中常見的EC溶劑大約在1.2V(vsLi/Li+)左右開始分解,電解液的分解過程會消耗鋰離子電池的活性Li,同時在負極表面生成一層惰性層,也就是我們常說的SEI膜。這一層惰性層的作用至關重要,首先因為這層惰性層的存在能夠抑制電解液的進一步分解,其次這層惰性層還能夠防止溶劑分子與Li+的共嵌入,因此電解液在負極表面形成的SEI膜對于鋰離子電池的性能和循環壽命等都具有非常重要的影響。
為了形成質量更好的SEI膜我們通常會在電解液中添加適量的EC溶劑,同時還需要添加少量的成膜添加劑,例如VC(碳酸亞乙烯酯)就是最為常見的SEI膜成膜添加劑,近日法國亞眠大學的SylvieGrugeon(第一作者)和StephaneLaruelle(通訊作者)等人對VC添加劑在鋰離子電池中的作用機理進行了深入的分析。
VC是最早采用的一種電解液添加劑,雖然人們對VC添加劑進行了較多的研究,但是仍然無法準確的掌握VC添加劑的具體反應機理,例如根據理論計算VC添加劑的分解電位為0.57-1.21V(與電解液體系有關),但是實際上VC添加劑會在更高的電位就開始分解,因此VC在鋰離子電池中的作用機理還需要我們進一步的進行分析。
由于SEI膜的厚度較薄,并且SEI膜在空氣中的反應活性比較高,因此直接分析在負極表面形成的SEI膜所得到的結果并不是十分可信,而通過模擬鋰離子電池內部的化學反應,直接生成分解產物的方法是一種更為可靠的方法。在該試驗中作者采用了兩種促進VC分解的方法:液相還原劑分解法和固相還原劑分解法。
1.液相還原分解法
作者首先采用了液相還原分解法,以Li-DBB作為還原劑,以THF作為溶劑,加入不同數量的還原劑Li-DBB促使VC發生分解,反應產物經過清洗和處理后采用紅外進行分析,測試結果如下圖所示。從下圖的測試結果來看,隨著還原劑Li-DBB數量的增加,IR曲線中表征聚合VC的特征峰1818、1261、1171、1076、770和722cm-1的特征峰逐漸降低,同時我們還在1505、1432和876cm-1處觀察到了Li2CO3的特征峰,1600-1670cm-1處的特征峰則為Li2C2O4/HCO2Li中的C=O鍵的特征峰,827cm-1處的特征峰為烷基碳酸鋰的特征峰。

為了進一步分析VC分解的產物的成分,作者還采用了核磁共振技術對產物的成分進行了分析,從下面的分析結果能夠看到當還原劑Li-DBB添加比例不同時,154和77ppm的聚合VC的特征峰與100和32ppm處的CH(OR)2和RCH2R’具有非常強的相關性,因此作者認為聚合VC的形成是以CH2CHO自由基作為中間產物形成的。同時171ppm處的特征峰也表明分解產物中存在Li2CO3,195ppm處的特征峰則表明分解產物中存在烷基碳酸鋰,例如Li2C2O4、HCO2Li等。
2.固相還原分解

雖然采用液相還原的方法能夠非常有效的促進VC的分解,但是分解產物即便是經過清洗仍然存在少量的溶劑THF,以及DBB等影響最終結果的雜質。因此作者采用金屬Li作為還原劑,通過球磨的方法促進VC被金屬Li還原,但是由于VC在金屬Li表面還原產生的分解產物惰性很強,因此實際的產率僅為10%左右,遠低于液相還原分解的效率,因此作者通過加大還原劑金屬Li的用量(2.0和2.5)的方式促進VC的分解。
我們從下圖在1814cm-1特征峰的變化能夠看出,在剛反應完成時材料中僅有少量的聚合VC產物,但是在經過3h靜置后產物中的聚合VC的濃度大幅度上升,這表明初期形成的SEI膜仍然能夠允許VC添加劑在其表面發生進一步的分解。同時我們也在1485、1428、871cm-1等幾處位置觀察到了Li2CO3的特征峰。

密度函數理論計算顯示VC分解產物可能包括不飽和雙碳酸鹽,例如Li亞乙烯酯碳酸鹽LVD(=C-OCO2Li2)2、鋰二乙烯酯二碳酸LDVD(-CH=CH-OCO2Li)2,如下表所示。從下表可以看到,LDVD產物與試驗IR數據中的四個特征峰都符合的非常好,因此這也表明VC的分解產物中包含LDVD。

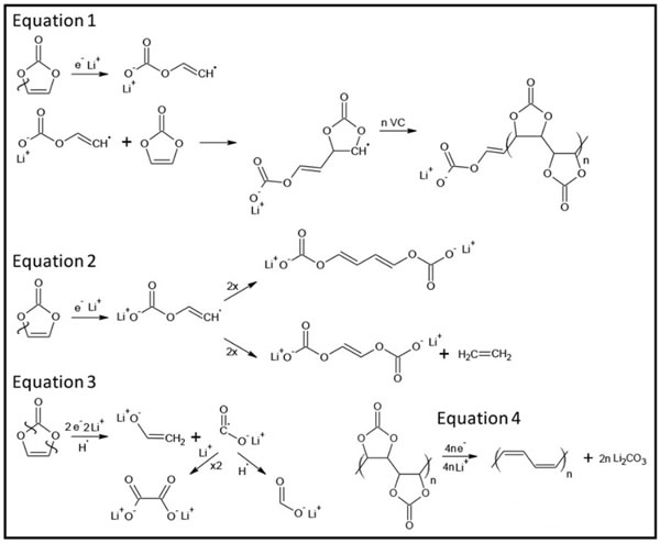
通過液相還原分解試驗和固相還原分解試驗發現,VC分解是首先得到一個電子,分子結構開環,形成一個自由基(如式1所示),在球磨混合試驗中由于金屬Li表面生成的SEI膜很好的抑制了VC與金屬Li的金屬,因此一旦球磨停止后,VC將不能與金屬Li接觸,因此反應產生的自由基就會與參與的VC繼續發生反應,生成聚合VC產物,這就解釋了為什么球磨后靜置過程中聚合VC會出現上升。
此外作者還發現VC的分解過程與選擇的分解方式有很大的關系,例如在固相還原分解中VC更加傾向于發生下式2所示的單電子反應,C羧基-O發生斷裂,而在液相還原分解中則更傾向于發生下式3所示的雙電子反應,C醚鍵-O發生斷裂。

3.石墨負極驗證
為了驗證VC在石墨負極表面的分解,作者采用石墨/Li扣式電池進行了驗證,電解液分解采用100%VC,EC-DMC-EMC(1:1:1)添加或不添加2%VC三種電解液,石墨負極在這三種電解液形成的SEI膜的IR圖如下圖所示。
從下圖可以看到1400-1500和870cm-1處的特征峰為Li2CO3,而在1750-1850和760cm-1處的特征峰為聚合VC,1600和825cm-1的特征峰為烷基碳酸鋰,在900-1200cm-1處的特征峰可以判定為LDVD產物。

VC在石墨負極表面分解產生的產物主要是Li2CO3和LDVD等,但是由于石墨負極嵌鋰過程中會產生體積膨脹,導致SEI膜破壞,裸露出的新鮮負極會促進殘余的VC與VC分解產生的自由基發生聚合反應,從而在SEI膜破壞處生成聚合VC,導致電池的阻抗增加,因此在實際電解液中添加的VC不易過多。
上一篇:鋰電池安全性提升研究中取得進展
下一篇:針對軟包電芯膨脹的標準模組設計










